Strona korzysta z plików cookies w celu realizacji usług. Możesz określić warunki przechowywania lub dostępu do plików cookies klikając przycisk Ustawienia. Aby dowiedzieć się więcej zachęcamy do zapoznania się z Polityką Cookies oraz Polityką Prywatności.
Ustawienia

Szanujemy Twoją prywatność. Możesz zmienić ustawienia cookies lub zaakceptować je wszystkie. W dowolnym momencie możesz dokonać zmiany swoich ustawień.

Niezbędne pliki cookies służą do prawidłowego funkcjonowania strony internetowej i umożliwiają Ci komfortowe korzystanie z oferowanych przez nas usług.

Pliki cookies odpowiadają na podejmowane przez Ciebie działania w celu m.in. dostosowania Twoich ustawień preferencji prywatności, logowania czy wypełniania formularzy. Dzięki plikom cookies strona, z której korzystasz, może działać bez zakłóceń.

Więcej

Tego typu pliki cookies umożliwiają stronie internetowej zapamiętanie wprowadzonych przez Ciebie ustawień oraz personalizację określonych funkcjonalności czy prezentowanych treści.

Dzięki tym plikom cookies możemy zapewnić Ci większy komfort korzystania z funkcjonalności naszej strony poprzez dopasowanie jej do Twoich indywidualnych preferencji. Wyrażenie zgody na funkcjonalne i personalizacyjne pliki cookies gwarantuje dostępność większej ilości funkcji na stronie.

Więcej

Analityczne pliki cookies pomagają nam rozwijać się i dostosowywać do Twoich potrzeb.

Cookies analityczne pozwalają na uzyskanie informacji w zakresie wykorzystywania witryny internetowej, miejsca oraz częstotliwości, z jaką odwiedzane są nasze serwisy www. Dane pozwalają nam na ocenę naszych serwisów internetowych pod względem ich popularności wśród użytkowników. Zgromadzone informacje są przetwarzane w formie zanonimizowanej. Wyrażenie zgody na analityczne pliki cookies gwarantuje dostępność wszystkich funkcjonalności.

Więcej

Dzięki reklamowym plikom cookies prezentujemy Ci najciekawsze informacje i aktualności na stronach naszych partnerów.

Promocyjne pliki cookies służą do prezentowania Ci naszych komunikatów na podstawie analizy Twoich upodobań oraz Twoich zwyczajów dotyczących przeglądanej witryny internetowej. Treści promocyjne mogą pojawić się na stronach podmiotów trzecich lub firm będących naszymi partnerami oraz innych dostawców usług. Firmy te działają w charakterze pośredników prezentujących nasze treści w postaci wiadomości, ofert, komunikatów mediów społecznościowych.

Więcej

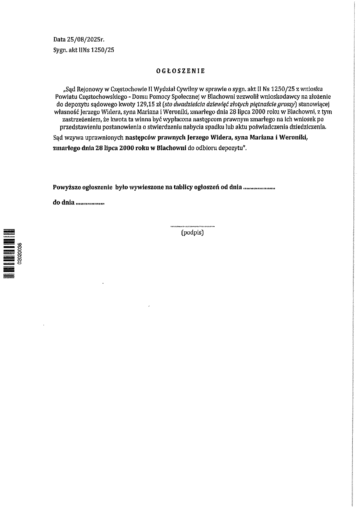
Wezwanie spadkobierców do odbioru depozytu sądowego

powrót do kategorii
Poprzedni Następny

Pozostałe
aktualności

DO GÓRY
Włącz powiadomienia WebPush
Dziękujemy, teraz zawsze będziesz na bieżąco!
Przeglądasz tę stronę w trybie offline.
Przeglądasz tę stronę w trybie online.